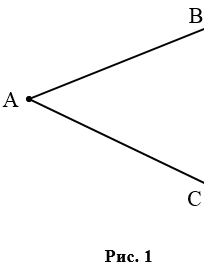
Угол - геометрическая фигура, которая состоит из точки и двух лучей, исходящих из этой точки.

На рис. 1 лучи АВ и АС - стороны угла, точка А - вершина угла.
При записи угла в середине пишут букву, обозначающую его вершину. Сам угол на рис. 1 обозначают так:
ВАС или
САВ (этот угол нельзя обозначить так:
АВС или
СВА или
ВСА или
АСВ, т.к. точки В и С не являются вершинами данного угла). Этот же угол можно обозначить и короче, по его вершине:
А.
Если углы имеют общую вершину, то их нельзя обозначить одной буквой. Так на рис. 2 углы имеют общую вершину Е, поэтому мы можем использовать для данных углов только следующие обозначения:
МЕК или
КЕМ,
МЕР или
РЕМ,
РЕК или
КЕР. Говорят, что луч ЕР в данном случае делит угол
МЕК (или
КЕМ) на два угла:
МЕР (или
РЕМ) и
РЕК (или
КЕР).

Также иногда углы обозначают цифрами, например, на рис.3 мы имеем
1.

Углы, как и отрезки, можно сравнивать между собой. Чтобы сравнить два угла можно наложить один угол на другой. Если при наложении одного угла на другой они совпадут, то эти углы равны.
Биссектриса - луч, который делит угол на два равных угла. На рис. 4 углы НОМ и DОМ равны, значит, луч ОМ - биссектриса угла НОD.

Прямой угол - угол, который можно построить с помощью угольника (рис. 5).

Если начертить два прямых угла с общей вершиной и одной общей стороной, то две другие стороны этих углов составят прямую (рис. 6). Считают, что лучи, составляющие прямую, также образуют угол, который называют развернутым.

На рис. 6
АОВ и
ВОС - прямые,
АОС - развернутый.
Развернутый угол равен двум прямым углам, а прямой угол составляет половину развернутого.
Острый угол - угол, который меньше прямого угла. На рис. 7
МОN - острый.

Тупой угол - угол, который больше прямого угла, но меньше развернутого. На рис. 8
РЕК - тупой.

Единицы измерения площадей. Свойства площадей
Прямоугольник, его периметр и площадь. Ось симметрии фигуры
Квадрат. Периметр и площадь квадрата.
Многоугольники. Правильные многоугольники. Равенство фигур.
Прямоугольный параллелепипед. Пирамида.
Объем прямоугольного параллелепипеда
Измерение углов. Транспортир. Виды углов
5 класс
Задание 1653, Виленкин, Жохов, Чесноков, Шварцбург, Учебник
Задание 1683, Виленкин, Жохов, Чесноков, Шварцбург, Учебник
Задание 1702, Виленкин, Жохов, Чесноков, Шварцбург, Учебник
Задание 1775, Виленкин, Жохов, Чесноков, Шварцбург, Учебник
Задание 2, Виленкин, Жохов, Чесноков, Шварцбург, Учебник, часть 2
Номер 283, Мерзляк, Полонский, Якир, Учебник
Номер 309, Мерзляк, Полонский, Якир, Учебник
Номер 311, Мерзляк, Полонский, Якир, Учебник
Номер 1, Мерзляк, Полонский, Якир, Учебник
Номер 5, Мерзляк, Полонский, Якир, Учебник
6 класс
Номер 220, Мерзляк, Полонский, Якир, Учебник
Номер 714, Мерзляк, Полонский, Якир, Учебник
Задание 1.33, Виленкин, Жохов, Чесноков, Шварцбург, Учебник, часть 1
Задание 1.35, Виленкин, Жохов, Чесноков, Шварцбург, Учебник, часть 1
Задание 1.76, Виленкин, Жохов, Чесноков, Шварцбург, Учебник, часть 1
Задание 1.79, Виленкин, Жохов, Чесноков, Шварцбург, Учебник, часть 1
Задание 1.84, Виленкин, Жохов, Чесноков, Шварцбург, Учебник, часть 1
Задание 1.87, Виленкин, Жохов, Чесноков, Шварцбург, Учебник, часть 1
Задание 1.105, Виленкин, Жохов, Чесноков, Шварцбург, Учебник, часть 1
Задание 1.115, Виленкин, Жохов, Чесноков, Шварцбург, Учебник, часть 1
7 класс
Номер 759, Мерзляк, Полонский, Якир, Учебник
Задание 81, Атанасян, Бутузов, Кадомцев, Позняк, Юдина, Учебник
8 класс
Номер 422, Мерзляк, Полонский, Якир, Учебник