Номер 195 - ГДЗ Математика 6 класс. Мерзляк, Полонский. Учебник. Страница 43

Вернуться к содержанию учебника

Страница 43

192 193 194 195 196 197 198

Вопрос

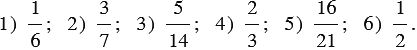
Каждую из данных дробей замените равной ей дробью, знаменатель который равен 42:

Подсказка

Ответ


Вернуться к содержанию учебника