Номер 2. Обыкновенные дроби. Решаем устно § 18 - ГДЗ Математика 6 класс. Мерзляк, Полонский. Учебник. Страница 105

Вернуться к содержанию учебника

Обыкновенные дроби. Решаем устно § 18. Страница 105

2 1 1 2 3 1 2

Вопрос

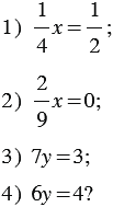
Чему равен корень уравнения:

Подсказка

Вспомните:

  1. Как решать уравнения.
  2. Обыкновенные дроби.
  3. Умножение обыкновенных дробей.
  4. Деление обыкновенных дробей.
  5. Какие числа называют взаимно обратными.

Ответ

2 1 1 2 3 1 2


Вернуться к содержанию учебника