Номер 1026 - ГДЗ Математика 6 класс. Мерзляк, Полонский. Учебник. Страница 219

Вернуться к содержанию учебника

Страница 219

1023 1024 1025 1026 1027 1028 1029

Вопрос

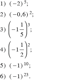
Найдите значение степени:

Подсказка

Ответ


Вернуться к содержанию учебника