Номер 1106 - ГДЗ Математика 6 класс. Мерзляк, Полонский. Учебник. Страница 233

Вернуться к содержанию учебника

Страница 233

1103 1104 1105 1106 1107 1108 1109

Вопрос

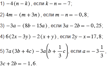
Найдите значение выражения:

Подсказка

Ответ


Вернуться к содержанию учебника