Вернуться к содержанию учебника
Страница 55
265 266 267 268 269 270 271 272 273 274 275
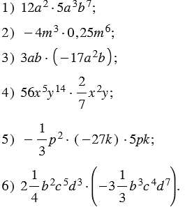
Упростите выражение:
Вспомните: