Номер 448 - ГДЗ Алгебра 7 класс. Мерзляк, Полонский. Учебник. Страница 84

Вернуться к содержанию учебника

Страница 84

445 446 447 448 449 450 451

Вопрос

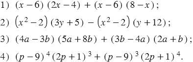
Представьте в виде произведения многочленов выражение:

Подсказка

Ответ


Вернуться к содержанию учебника