Номер 540 - ГДЗ Алгебра 7 класс. Мерзляк, Полонский. Учебник. Страница 99

Вернуться к содержанию учебника

Страница 99

537 538 539 540 541 542 543

Вопрос

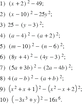
Разложите на множители, пользуясь формулой разности квадратов:

Подсказка

Ответ


Вернуться к содержанию учебника