Вернуться к содержанию учебника
Страница 104
563 564 565 566 567 568 569 570 571 572 573
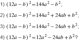
Какое из данных равенств является тождеством:
Вспомните: