Номер 673 - ГДЗ Алгебра 7 класс. Мерзляк, Полонский. Учебник. Страница 115

Вернуться к содержанию учебника

Страница 115

670 671 672 673 674 675 676

Вопрос

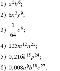
Представьте в виде куба одночлена выражение:

Подсказка

Ответ


Вернуться к содержанию учебника