Номер 710 - ГДЗ Алгебра 7 класс. Мерзляк, Полонский. Учебник. Страница 124

Вернуться к содержанию учебника

Страница 124

707 708 709 710 711 712 713

Вопрос

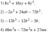
Разложите на множители:

Подсказка

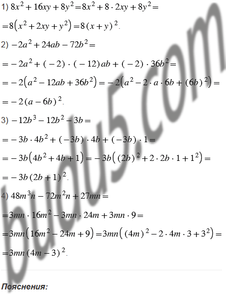
Ответ


Вернуться к содержанию учебника