Номер 2. Задание "Проверь себя" №6 - ГДЗ Алгебра 7 класс. Мерзляк, Полонский. Учебник. Страница 175

Вернуться к содержанию учебника

Задание "Проверь себя" №6. Страница 175

6 7 1 2 3 4 5

Вопрос

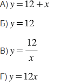
Среди данных функций укажите прямую пропорциональность:

Подсказка

Вспомните, какую функцию называют прямой пропорциональностью.

Ответ

6 7 1 2 3 4 5


Вернуться к содержанию учебника