Вернуться к содержанию учебника
Страница 200
1006 1007 1008 1009 1010 1011 1012 1013 1014 1015 1016
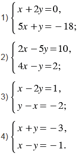
Решите графически систему уравнений:
Вспомните: