Номер 233 - ГДЗ Алгебра 8 класс. Мерзляк, Полонский. Учебник. Страница 62

Вернуться к содержанию учебника

Упражнения § 8. Страница 62

4 231 232 233 234 235 236

Вопрос

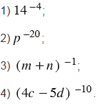
Замените степень дробью:

Подсказка

Вспомните:

  1. Чему равно для любого отличного от нуля числа и натурального числа .
  2. Степень с натуральным показателем.

Ответ


Вернуться к содержанию учебника