Номер 751 - ГДЗ Алгебра 8 класс. Мерзляк, Полонский. Учебник. Страница 184

Вернуться к содержанию учебника

Упражнения §22. Страница 184

5 6 7 751 752 753 754

Вопрос

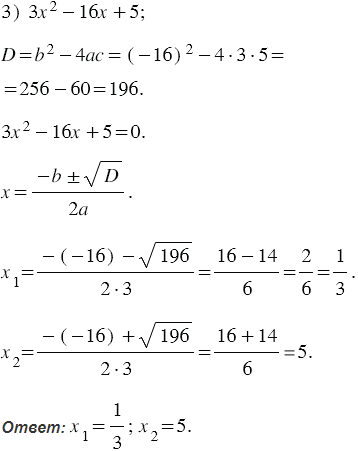
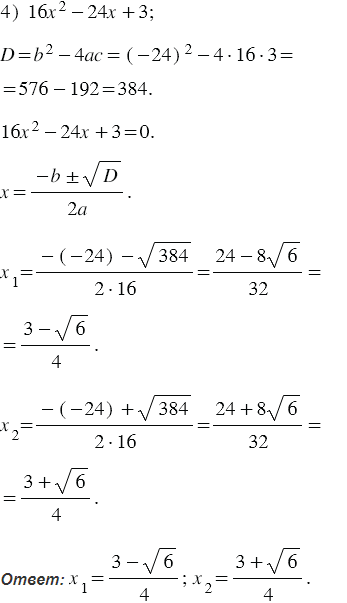
Найдите корни квадратного трёхчлена:

Подсказка

Ответ


Вернуться к содержанию учебника