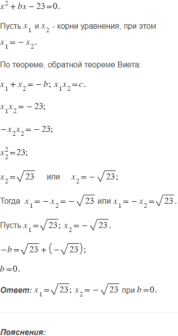
Номер 925 - ГДЗ Алгебра 8 класс. Мерзляк, Полонский. Учебник. Страница 226

Вернуться к содержанию учебника

Упражнения для повторения курса алгебры 8 класса. Страница 226

922 923 924 925 926 927 928

Вопрос

При каком значении корнями уравнения являются противоположные числа? Найдите эти корни.

Подсказка

Вспомните:

  1. Что такое уравнение.
  2. Решение уравнений.
  3. Что называют корнем уравнения.
  4. Какое уравнение называют квадратным.
  5. Теорему, обратную теореме Виета.
  6. Сложение и умножение рациональных чисел.
  7. Какие числа называют противоположными.

Ответ


Вернуться к содержанию учебника