Номер 396 - ГДЗ Алгебра 7 класс. Мерзляк, Полонский. Учебник. Страница 77

Вернуться к содержанию учебника

Страница 77

393 394 395 396 397 398 399

Вопрос

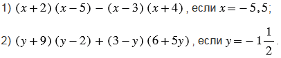
Упростите выражение и найдите его значение:

Подсказка

Вспомните:

  1. Что называют многочленом.
  2. Как умножить многочлен на многочлен.
  3. Как умножить одночлен на одночлен.
  4. Правила раскрытия скобок, подобные слагаемые, приведение подобных слагаемых.
  5. Правила сложения рациональных чисел.
  6. Правила вычитания рациональных чисел.
  7. Правила умножения рациональных чисел.
  8. Модуль числа.
  9. Противоположные числа.
  10. Степень с натуральным показателем.
  11. Свойства степени с натуральным показателем.
  12. Умножение десятичных дробей.
  13. Умножение обыкновенных дробей и смешанных чисел.
  14. Неправильные дроби.
  15. Смешанные числа.
  16. Сокращение дробей.

Ответ


Вернуться к содержанию учебника