Номер 400 - ГДЗ Алгебра 7 класс. Мерзляк, Полонский. Учебник. Страница 77

Вернуться к содержанию учебника

Страница 77

397 398 399 400 401 402 403

Вопрос

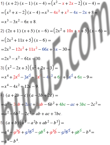
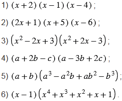
Выполните умножение:

Подсказка

Вспомните:

  1. Что называют многочленом.
  2. Как умножить многочлен на многочлен.
  3. Как умножить одночлен на одночлен.
  4. Подобные слагаемые, приведение подобных слагаемых.
  5. Правила сложения рациональных чисел.
  6. Правила вычитания рациональных чисел.
  7. Правила умножения рациональных чисел.
  8. Модуль числа.
  9. Противоположные числа.
  10. Степень с натуральным показателем.
  11. Свойства степени с натуральным показателем.

Ответ


Вернуться к содержанию учебника