Номер 686 - ГДЗ Алгебра 7 класс. Мерзляк, Полонский. Учебник. Страница 120

Вернуться к содержанию учебника

Страница 120

683 684 685 686 687 688 689

Вопрос

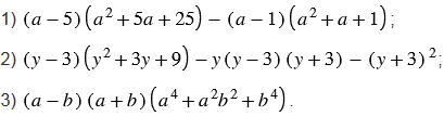
Упростите выражение:

Подсказка

Ответ


Вернуться к содержанию учебника